City of Duluth Travel Policy
Policy & Procedure
Effective Date: September 15, 2025 | Supersedes: December 20, 2019 (030.1324.002 Travel Procedures)
Overview
Objective
To provide regulations and procedures for work-related travel and other reimbursable expenses, in accordance with Duluth City Code, Division 2, Section 201-5, for all City officers, employees, and members of City boards and commissions.
Policy Statement
City of Duluth officers, employees, and members of City boards and commissions must obtain approval from their designated approving authority prior to traveling out-of-state, or in-state with an overnight stay. Employees should check with their supervisor and receive either verbal or written permission before incurring any other type of travel expense.
Scope
This policy applies to all City of Duluth officers, employees, and members of City boards and commissions.
Definitions
In-State Travel
Any destination within the state of Minnesota. Forms: Travel Claim Form if travel includes an overnight stay; Purchase Authorization Form (PAF) or Mileage Reimbursement Form for single-day trips.
Out-of-State Travel
Overnight travel not in the state of Minnesota and not covered under "Local Travel." Forms: Travel Advance Form and Travel Claim Form.
Local Travel
Business-related meetings and seminars within either the city limits of Duluth, or travel not requiring an overnight stay. Forms: PAF or Mileage Reimbursement Form.
Job Assignment Travel
A short-term trip which takes place due to a specific work assignment, such as pickup or delivery of a piece of equipment, and involves minimal out-of-pocket expense for the employee. Forms: PAF or Mileage Reimbursement Form.
Mileage
A listing of odometer readings and locations to which an employee travels while on City business using a personal vehicle. Form: Mileage Reimbursement Form.
Approving Authority
- Department Directors (including City Attorney). Approving Authorities for all staff assigned to their department. The director may authorize others in the department to approve travel or Mileage expenses. Such authorizations must be communicated to the Finance Department in writing.
- City Administrative Officer (CA). Approving Authority for all members of boards and commissions in the City of Duluth. The CA is also the Approving Authority for all department directors, including the City Attorney.
- Mayor. Approving Authority for the CA, following the same requirements as described in the CA section.
- City Council President. Approving Authority for all Council members' travel expenses; the Council Vice President may serve as the Approving Authority in the President's absence.
Related Forms
- Travel Advance Form. Used prior to travel to request direct payments for or reimbursement of costs incurred prior to the trip, and/or to request an advance for out-of-pocket costs. This form must be filled out and approved by the appropriate Approving Authority prior to any direct payment, reimbursement, or advance being issued.
- Travel Claim Form. Used to summarize all costs incurred for a particular trip, either Out-of-State or In-State with an overnight stay, for which an employee seeks reimbursement or has received an advance, or for which the City has issued a direct payment on the employee's behalf. Within 30 calendar days of returning from a trip, an employee must fill out and sign the form, attach backup documentation, route to the designated Approving Authority for signature, and send to the Finance Department for processing.
- Purchase Authorization Form (PAF). Used to: 1) pay a vendor for an employee's business meeting/seminar expense; or 2) reimburse an employee for expenses related to Local Travel, Job Assignment Travel, or In-State travel that does not require an overnight stay.
- Mileage Reimbursement Form. A log showing information related to use of an employee's personal vehicle while on City business. All routine Mileage must be reported on this form and should be submitted periodically for reimbursement. It may be used for any Mileage incurred, including Local Travel, In-State Travel, and Job Assignment Travel, as long as other out-of-pocket expenses (excluding parking) have not been incurred. If there were additional expenses, all costs, including Mileage, should be reported on a PAF or a Travel Claim Form.
Responsibilities and Expectations
I. Employee Responsibilities
An employee is required to:
- Be informed of all current travel policies and requirements.
- Adhere to all provisions of this policy.
- Secure approval prior to travel.
- Make all necessary travel arrangements and payments.
- Complete or provide all appropriate forms and documentation within the required timeframe.
II. Approving Authority Responsibilities
Approving Authorities are required to:
- Review and approve employee travel in accordance with the provisions of this policy.
- Ensure that budgeted funds are available.
III. Finance Department Responsibilities
The Finance Department is required to:
- Ensure that all provisions of this policy are adhered to.
- Refuse reimbursement for expenses that are falsified, undocumented, or otherwise unacceptable.
IV. Allowable Costs/Requirements
a. Registration Fees
Registration fees for conferences and seminars that take place locally, in-state, or out-of-state require the following:
- A copy of the completed registration form, including cost information.
- A copy of the portion of the brochure which shows the schedule of sessions offered and meals provided.
b. Transportation
Transportation mode should be based on minimum expense to the City, as well as convenience for the employee.
- Coach class accommodations should be the standard mode of air travel. The passenger receipt must be provided as documentation.
- Any extension of travel time must be explained in writing, and any additional costs incurred should not exceed the costs that would have been incurred without the travel time extension (e.g., traveling on Saturday to take advantage of lower airfares).
- The reimbursement rate for the use of a personal vehicle is the current standard mileage rate for business use of cars authorized by the Internal Revenue Service (IRS).
- Other than Local Travel, the employee will be reimbursed for Mileage to and from the destination city, as well as for the number of miles of required travel within the destination city while on official business.
- Taxi, bus, or other ride service fares, including a tip, will be reimbursed for transportation between the airport and hotel, and between the hotel and business meeting place (if they are different). Fares for sightseeing, shopping, and other non-business activities will not be reimbursed. Receipts are required for fares over $25.00.
- Car rentals will be reimbursed provided that such use serves a public purpose, is less costly than other public transportation options or other public transportation options are not feasible from a practical standpoint, and the rental is supported by a detailed invoice or receipt. Employees are responsible for renting the most economical and feasible vehicle class available.
c. Lodging
Lodging should be chosen on the basis of convenience, reasonable cost, and proximity to the meeting site.
- An itemized hotel bill, showing both charges and payments, is required for reimbursement. Charge card receipts can be included in addition to, but not in place of, the hotel invoice.
- Lodging costs will be reimbursed at the single room rate only. If the employee shares a room with a non-City employee, it is the employee's responsibility to document the single room rate.
- Business phone calls included on the hotel bill should be identified as such in order to be reimbursed as part of lodging costs.
- In-room meals and personal phone calls included on the hotel bill should be deducted from the total. Meal costs are included in the per diem rates, and personal expenses are not reimbursable.
d. Travel Meal Per Diems
U.S. General Service Administration (GSA) per diem rates will be used for the reimbursement of meal costs and incidentals incurred while traveling overnight on City business. No receipts are required.
- On the travel day to the destination and on the travel day from the destination, the per diem rate will be 75% of the GSA approved rate for the travel destination.
- For travel days at the destination, the per diem rate will be 100% of the GSA approved rate for the travel destination. Meals provided as part of the conference registration fee must be deducted from the per diem rate. The amount deducted is the individual GSA meal per diem rate for the travel destination.
- Incidental expenses such as snacks, beverages, and tips are not reimbursable because they are covered by the GSA per diem rate.
- The GSA per diem rates can be viewed at https://www.gsa.gov/travel/plan-book/per-diem-rates.
e. Business Meals for Employees and Others
Meals served in conjunction with a business meeting, seminar, or conference will be reimbursed to employees attending as representatives of the City, upon receipt of documentation of the expense. Documentation should include the amount, date, and place, as well as the public purpose of the expense.
An employee may also be reimbursed for meals bought for other persons who have official business with the City. The cost of providing such meals, including tax and a reasonable gratuity, will be reimbursed upon receipt of the following documentation:
- The name and official capacity of each person attending.
- A description of the public purpose of the meeting.
- A receipt showing amount, date, and place of the expense.
f. Miscellaneous
The City will reimburse the following expenses if they are itemized, briefly described, and the appropriate documentation attached:
- Baggage handling – no receipt is required.
- Parking lots – receipt is required for amounts over $25.00.
- Parking meters – no receipt is required.
- Gas or other costs for a City vehicle – receipt is required.
- Laundry/dry cleaning – will be reimbursed if a trip lasts five days or more; a receipt is required.
- Other – items not mentioned above will be reviewed individually. If the expenses are itemized, documented, and explained in a manner that indicates the cost is both reasonable and proper, the Finance Department may approve them for reimbursement.
g. Local Travel Costs
Local Travel costs incurred that do not require an overnight stay are reimbursable. Receipts are not required for out-of-pocket costs such as meals or other incidental costs, which will be reimbursed at 75% of the GSA per diem rate for the travel destination. The GSA per diem rates can be viewed at https://www.gsa.gov/travel/plan-book/per-diem-rates. In accordance with IRS regulations, reimbursed meal costs for Local Travel is a taxable benefit to the employee subject to federal and state taxes and will be processed through the Payroll Office.
h. Purchasing Cards (P-Cards)
City issued P-Cards may not be used for the payment of meal costs and incidentals that are reimbursed by GSA per diem rates. P-Cards may be used for registration fees, transportation costs, and lodging costs.
i. Local Business Mileage Reimbursement
Business Mileage is the travel an employee incurs in addition to normal commuting miles during the workday. Business Mileage is eligible for reimbursement at the IRS Mileage Rate when a personal vehicle is used. Commuting miles are not reimbursable and commuting to work for an overtime shift is not reimbursable.
City of Duluth employees shall have a primary work location, defined as the primary office and/or building the employee reports to. An employee's home is not a primary work location. Any arrangement to work from home is a convenience for the employee and does not entitle the employee to additional Mileage reimbursement.
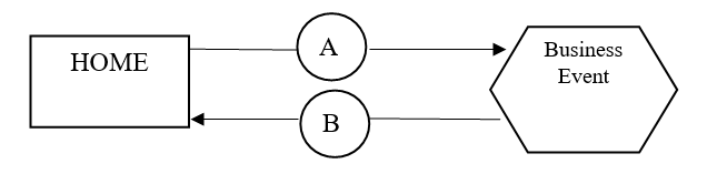
Note: In some cases, if the distance to the business event is less than your normal commute, then Mileage is not reimbursable. The following examples illustrate how business Mileage is determined.
- Example 1: Employee goes to their primary work location, leaves mid-day to attend an offsite business meeting, and returns to the office after the event. Mileage reimbursed is C + D.

- Example 2: Employee leaves from home on a normal workday, goes directly to an offsite business event, and returns home directly after the event. Mileage reimbursed is A + B only if distance is greater than the employee's normal commuting distance.

- Example 3: Employee leaves from home, goes directly to an offsite business event, and returns to their primary work location to complete the workday. The employee's miles driven is longer than their normal commute to work. They are getting credit for the additional distance. Mileage reimbursed is A + B − C.

- Example 4: Employee goes to the office, leaves during the day for an off-site business event, and then goes directly home from the event. The employee's miles driven is longer than their normal commute home. They are getting credit for the additional distance. Mileage reimbursed is B + C − A.

- Example 5: Employee leaves from home on a non-workday or after normal work hours, goes directly to an off-site business event, and returns home after the event. Mileage reimbursed is A + B.

V. Travel Advances
When traveling in-state or out-of-state, an employee may request an advance for estimated out-of-pocket expenses through the Finance Department.
- A completed and approved Travel Advance Form is required in order to receive an advance.
- Advances will not be given for pre-payment of registration fees, airfare, room deposit, etc. Such payments should be made directly through the City's normal vendor payment process. An employee should make every effort to request such payment(s) in a timely manner. If the employee does not request the payment early enough, it is the employee's responsibility to pay the cost directly and request reimbursement from the City.
- Advances will be given within five business days of the employee's scheduled departure date.
- The minimum advance given will be $100.00.
- The employee must return any unused portion of the advance to the Finance Department within 30 calendar days of returning from a trip. The employee will receive a receipt for any funds returned; this receipt should be attached to the Travel Claim Form, along with a copy of the Travel Advance Form.
- In accordance with IRS regulations, if an employee receives an advance and fails to report expenses on a Travel Claim Form and/or return the unused portion of the advance within 30 days after returning from a trip, the entire amount of the advance will be treated as taxable income and added to the employee's W-2 form. The employee must then be able to substantiate expenses for the IRS in order to claim a deduction.
VI. Expense Reimbursement Deadlines
Expense reimbursement, whether for travel or local mileage, must be submitted to the Finance Office in a timely manner. This requirement is meant to provide prompt supervisory review of expenditures and reduces the time between the occurrence of the expenditure and the budget impact of the expenditure. In addition, if employee expenditure reimbursements are not done timely, the reimbursement may be considered taxable by the IRS.
- Local mileage reimbursement must be done no less frequently than quarterly. The reimbursement must be submitted to the Finance Department within 30 days of quarter end.
- Reimbursement of costs associated with travel must be submitted to the Finance Department within 30 days of the end of the travel period.